河南收藏网欢迎您的到来!    
  《河南省(首届)书法展览》(1980年)    3星级
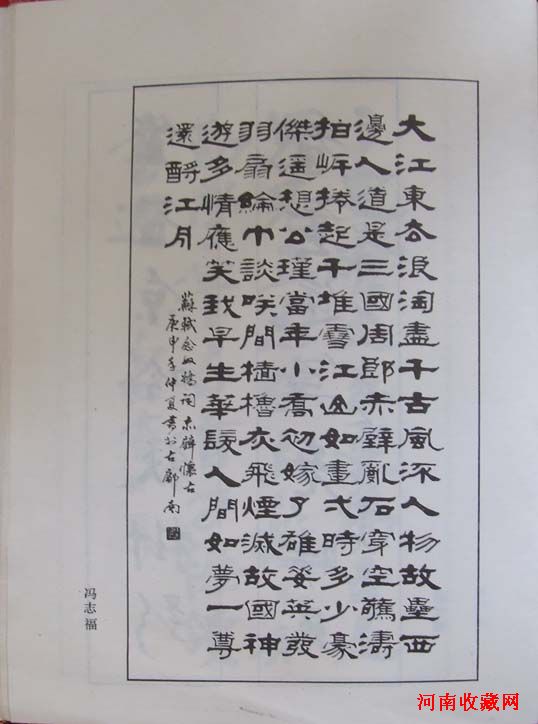
《河南省(首届)书法展览》(1980年)
发布:河南收藏网     点击数:4490     更新时间:2013/5/4  

按:昨天上午,去拜访著名书法家王朝宾老师。说话间,谈到河南80年代的墨海弄潮。王老师说他还珍藏一本1980年10月刊出的《河南省书法展览》小册子,很是惊喜。33年过去,弹指一挥间,早已物是人非。今如是翻拍如下,让我们回到1980年10月.......

 

 

 

 

 

 

 

 

 

 

 

 

 

 

 

 

 

 

 

 

 

 

 

 

  • 上一篇文章: 张辉(石沨)--书画家

  • 下一篇文章: 邹蓝天--旅美女书画家
  •  
    发表评论   告诉好友   打印此文  收藏此页  关闭窗口  返回顶部
     最新5篇热点文章
     寻迹函谷关
     社旗山陕会馆
     张宪斌当选河南省书画...
     卫辉匾额
     范玉星——河南省书协...
     殷墟考古
     寻找“最初的中国”
     
     最新5篇推荐文章
     张宪斌当选河南省书画...
     卫辉匾额
     范玉星——河南省书协...
     河南省书画收藏协会任...
     国宝文物“子弹库帛书...
     中国最早的玉覆面和“...
     龙门石窟洞窟墙壁内首...
     
     相 关 文 章
      网友评论:(只显示最新50条。评论内容只代表网友观点,与本站立场无关!)
    |设为首页| 加入收藏| 关于本站 |
      豫ICP备07003530号 版权所有 Copyrigh2006-2024 河南收藏网
    Email:henanshoucang@163.com
    地址:河南*郑州*收藏
    未经河南收藏网书面特别授权,请勿转载或建立镜像